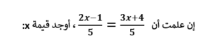
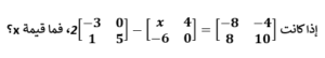
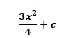
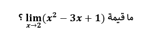
منصة جهاد

رياضيات 1445 | الاختبار الرابع