المدة المحددة: 0
ملخص الإختبار
0 of 22 الاسئله completed
أسئلة:
المعلومات
You have already completed the الإختبار before. Hence you can not start it again.
الإختبار is loading…
You must sign in or sign up to start the الإختبار.
يجب عليك أولاً إكمال ما يلي:
النتائج
اكتمل الالإختبار. يتم تسجيل النتائج.
النتائج
0 of 22 الاسئله answered correctly
Your time:
لقد انقضى الوقت
You have reached 0 of 0 point(s), (0)
Earned Point(s): 0 of 0, (0)
0 Essay(s) Pending (Possible Point(s): 0)
الفئات
- غير مصنفة 0%
- 1
- 2
- 3
- 4
- 5
- 6
- 7
- 8
- 9
- 10
- 11
- 12
- 13
- 14
- 15
- 16
- 17
- 18
- 19
- 20
- 21
- 22
- Current
- مراجعة
- تمت الإجابة
- صحيح
- غير صحيح
-
السؤال 1 of 22
1. سؤال
أكبر قيمة للدالة في مجالها، تسمى :
صحيحغير صحيح -
السؤال 2 of 22
2. سؤال
=(2+3i√)(2-3i√)
صحيحغير صحيح -
السؤال 3 of 22
3. سؤال
إن علمت أن 8=2(y-2)+(x-2)2 ،فإن :
صحيحغير صحيح -
السؤال 4 of 22
4. سؤال
أي القيم التالية لا تنتمي لمدى الدالة f(x)=|x|- 2 :
صحيحغير صحيح -
السؤال 5 of 22
5. سؤال
ميل المستقيم (y-3) = 2(x-2)
صحيحغير صحيح -
السؤال 6 of 22
6. سؤال
أوجد قيمة K في الشكل التالي
صحيحغير صحيح -
السؤال 7 of 22
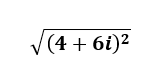
7. سؤال
القيمة 4 + 6i تساوي ……
صحيحغير صحيح -
السؤال 8 of 22
8. سؤال
صحيحغير صحيح -
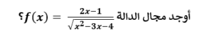
السؤال 9 of 22
9. سؤال
أي مقاييس النزعة المركزية هو الأفضل لدراسة مجموعة البيانات التالية : 15,1,2,5,3؟
صحيحغير صحيح -
السؤال 10 of 22
10. سؤال
في القطع الناقص، إذا كانت قيمة الاختلاف المركزي تساوي صفراً، فإن:
صحيحغير صحيح -
السؤال 11 of 22
11. سؤال
أوجد قيمة x في الشكل التالي
صحيحغير صحيح -
السؤال 12 of 22
12. سؤال
=(7i+2)+(5i+1-)
صحيحغير صحيح -
السؤال 13 of 22
13. سؤال
صحيحغير صحيح -
السؤال 14 of 22
14. سؤال
إن علمت أن قيمة x=2 فما قيمة m التي تحقق المعادلة التالية
2xm – 32 = 0صحيحغير صحيح -
السؤال 15 of 22
15. سؤال
صحيحغير صحيح -
السؤال 16 of 22
16. سؤال
صحيحغير صحيح -
السؤال 17 of 22
17. سؤال
إن علمت أن قيمة sinθ=3/5 ، أوجد مساحة المستطيل :
صحيحغير صحيح -
السؤال 18 of 22
18. سؤال
صحيحغير صحيح -
السؤال 19 of 22
19. سؤال
صحيحغير صحيح -
السؤال 20 of 22
20. سؤال
صحيحغير صحيح -
السؤال 21 of 22
21. سؤال
صحيحغير صحيح -
السؤال 22 of 22
22. سؤال
ما عدد الطرق التي يمكن أن يجلس بها أربع أشخاص حول طاولة مستديرة؟
صحيحغير صحيح