المدة المحددة: 0
ملخص الإختبار
0 of 30 الاسئله completed
أسئلة:
المعلومات
You have already completed the الإختبار before. Hence you can not start it again.
الإختبار is loading…
You must sign in or sign up to start the الإختبار.
يجب عليك أولاً إكمال ما يلي:
النتائج
اكتمل الالإختبار. يتم تسجيل النتائج.
النتائج
0 of 30 الاسئله answered correctly
Your time:
لقد انقضى الوقت
You have reached 0 of 0 point(s), (0)
Earned Point(s): 0 of 0, (0)
0 Essay(s) Pending (Possible Point(s): 0)
الفئات
- غير مصنفة 0%
- 1
- 2
- 3
- 4
- 5
- 6
- 7
- 8
- 9
- 10
- 11
- 12
- 13
- 14
- 15
- 16
- 17
- 18
- 19
- 20
- 21
- 22
- 23
- 24
- 25
- 26
- 27
- 28
- 29
- 30
- Current
- مراجعة
- تمت الإجابة
- صحيح
- غير صحيح
-
السؤال 1 of 30
1. سؤال
أي الخيارات الآتية يمثل هكسانول حلقي؟
صحيحغير صحيح -
السؤال 2 of 30
2. سؤال
مادة تستعمل في حفظ العينات البيولوجية :
صحيحغير صحيح -
السؤال 3 of 30
3. سؤال
أي العناصر الآتية أقل طاقة تأين؟
(F=9, Cl=17, Br=35, I=53)
صحيحغير صحيح -
السؤال 4 of 30
4. سؤال
أي هذه العناصر هو الأعلى في الكهروسالبية؟
(F,Na,Ne,N)صحيحغير صحيح -
السؤال 5 of 30
5. سؤال
من أمثلة المخلوط المعلق :
صحيحغير صحيح -
السؤال 6 of 30
6. سؤال
يعد الحليب من المخاليط :
صحيحغير صحيح -
السؤال 7 of 30
7. سؤال
المركب الذي لا يحوي مجموعة كربونيل من الخيارات التالية هو :
صحيحغير صحيح -
السؤال 8 of 30
8. سؤال
المركبان H2O و H2O2 يحققان قانون :
صحيحغير صحيح -
السؤال 9 of 30
9. سؤال
أوجد عدد التأكسد للكلور في المركب HClO3 :
صحيحغير صحيح -
السؤال 10 of 30
10. سؤال
عندما نقوم بإجراء اختبار PH للماء المقطر، نجد أن الرقم الهيدروجيني له :
صحيحغير صحيح -
السؤال 11 of 30
11. سؤال
الصيغة الأولية لجزيء الجلوكوز C6H12O6 :
صحيحغير صحيح -
السؤال 12 of 30
12. سؤال
إذا أردت أن تحصل على ألكين من CH2CH3OH :
صحيحغير صحيح -
السؤال 13 of 30
13. سؤال
المجموعة الوظيفية المميزة للمركب C2H3-O-C3H2 هي :
صحيحغير صحيح -
السؤال 14 of 30
14. سؤال
عند زيادة تركيز N2 مع كمية كافية من الأكسجين
فإن التفاعل N2 + 2O2⇌2NO2:صحيحغير صحيح -
السؤال 15 of 30
15. سؤال
يشبه التوزيع الإلكتروني لــ 20Ca التوزيع الإلكتروني لغاز نبيل عندما
صحيحغير صحيح -
السؤال 16 of 30
16. سؤال
في خلية الخارصين والكربون الجافة، يتمثل الكاثود في :
صحيحغير صحيح -
السؤال 17 of 30
17. سؤال
ما الذي يعمل على تسريع التفاعل؟
صحيحغير صحيح -
السؤال 18 of 30
18. سؤال
إضافة ماء لألكين ينتج عنها :
صحيحغير صحيح -
السؤال 19 of 30
19. سؤال
صحيحغير صحيح -
السؤال 20 of 30
20. سؤال
الاسم النظامي للمركب التالي هو :
صحيحغير صحيح -
السؤال 21 of 30
21. سؤال
يعد الحليب من المخاليط :
صحيحغير صحيح -
السؤال 22 of 30
22. سؤال
……. تغليف الحديد بفلز أكثر مقاومة للتأكسد
صحيحغير صحيح -
السؤال 23 of 30
23. سؤال
إذا كانت الحرارة الكامنة لانصهار الذهب 6.3×104 فكم الحرارة اللازمة لصهر نصف كيلوغرام من الذهب؟
صحيحغير صحيح -
السؤال 24 of 30
24. سؤال
لتسريع عملية في جسم الإنسان نقوم بــ :
صحيحغير صحيح -
السؤال 25 of 30
25. سؤال
كل إلكترون يشغل المستوى الأقل طاقة، تمثل هذه العبارة :
صحيحغير صحيح -
السؤال 26 of 30
26. سؤال
غاز الأوزون في الجو يوجد ضمن طبقة :
صحيحغير صحيح -
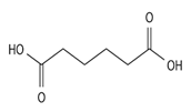
السؤال 27 of 30
27. سؤال
نوع المركب في الشكل التالي :
صحيحغير صحيح -
السؤال 28 of 30
28. سؤال
ينتج عن أكسدة CH3CHO :
صحيحغير صحيح -
السؤال 29 of 30
29. سؤال
أي المركبات حمض حسب نظرية أرهينيوس؟
صحيحغير صحيح -
السؤال 30 of 30
30. سؤال
بالون مملوء بغاز حجمه 2L عند درجة حرارة 300K، فكم يكون حجمه بوحدة اللتر عند درجة حرارة 150K؟
صحيحغير صحيح